Nikon AF-S Nikkor 8-15mm f3.5-4.5E ED | Déformez la réalité avec créativité !

Prix habituel €1.890,00 EUR
Prix habituel €0,00 EUR Prix soldé €1.890,00 EUR
Taxes incluses. Frais d'expédition calculés à l'étape de paiement.
  • Capteur Super 35 mm DGO
  • Processeur DIGIC DV7
  • Enregistrement vidéo RAW 4K 120p

➔ Garantie constructeur 2 ans
➔ Paiement 100% sécurisé
➔ Produit 100% NEUF – NON reconditionné

  • American Express
  • Apple Pay
  • Cartes Bancaires
  • Mastercard
  • Shop Pay
  • Visa
Marque: Nikon
Prix habituel €1.890,00 EUR
Prix habituel €0,00 EUR Prix soldé €1.890,00 EUR

Ils parlent de nous


Nikon AF-S Nikkor 8-15mm f3.5-4.5E ED - Le fisheye polyvalent par excellence.

  • Polyvalence inégalée : Le Nikon AF-S Nikkor 8-15mm f3.5-4.5E ED offre la possibilité unique de capturer des images fisheye circulaires (à 8mm) et des images fisheye plein cadre (à 15mm), décuplant les possibilités créatives.
  • Qualité d'image exceptionnelle : Équipé de lentilles asphériques ED et du traitement Nano Crystal , cet objectif photo garantit des images nettes, contrastées et exemptes d'aberrations, même dans des conditions de faible luminosité.
  • Construction robuste et durable : Conçu pour résister aux conditions difficiles, cet objectif appareil photo est doté d'un traitement au fluor sur la lentille avant, repoussant la poussière, l'eau et les taches, idéal pour une utilisation professionnelle en extérieur.

L' Objectif Fisheye Nikon Ultime pour des Perspectives Uniques

Le Nikon AF-S Nikkor 8-15mm f3.5-4.5E ED est un bijou de technologie optique offrant aux photographes une liberté créative sans précédent. Sa plage focale unique permet de passer d'un effet fisheye circulaire saisissant à un effet fisheye plein cadre ultra-large, parfait pour capturer des paysages à couper le souffle, des architectures imposantes ou des scènes d'action dynamiques. Sa construction optique complexe, intégrant des verres ED à faible dispersion et des lentilles asphériques , assure une netteté remarquable du centre à la périphérie de l'image. Le traitement Nano Crystal minimise les reflets et les images fantômes, garantissant un contraste et des couleurs éclatantes. Avec cet objectif fisheye nikon , repoussez les limites de votre imagination et capturez le monde sous un angle inédit . N'attendez plus, offrez-vous l'outil ultime pour exprimer votre vision artistique !

À Qui s'Adresse cet Objectif Appareil Photo ?

Le Nikon AF-S Nikkor 8-15mm f3.5-4.5E ED s'adresse principalement aux photographes créatifs et exigeants.

  • Photographes de paysages : Capturez l'immensité des panoramas avec une perspective déformée unique, ajoutant une touche artistique et originale à vos clichés.
  • Photographes d'architecture : Mettez en valeur les lignes et les courbes des bâtiments avec des angles de vue spectaculaires.
  • Photographes d'action et de sports extrêmes : Immortalisez les exploits sportifs avec une dynamique et une immersion accrue, en capturant l'action au plus près.
  • Photographes créatifs : Expérimentez et explorez de nouvelles formes d'expression artistique grâce aux effets visuels uniques offerts par cet objectif photo .
  • Vidéastes : Réalisez des plans originaux pour des vidéos créatives.

La Technologie au Service de la Créativité

Au cœur du Nikon AF-S Nikkor 8-15mm f3.5-4.5E ED se trouve une technologie optique de pointe . Sa conception intègre des lentilles asphériques ED qui minimisent les aberrations chromatiques, assurant une netteté exceptionnelle sur l'ensemble du champ de vision. Le traitement Nano Crystal , une technologie exclusive de Nikon , réduit considérablement les reflets internes et les images fantômes, garantissant des images contrastées et lumineuses, même en contre-jour. De plus, le moteur SWM (Silent Wave Motor) offre une mise au point automatique rapide, précise et silencieuse, idéale pour capturer des sujets en mouvement. Cet ensemble de technologies fait de cet objectif un outil fiable et performant, vous permettant de vous concentrer pleinement sur votre créativité.

Objectif Fisheye Nikon - Pourquoi le Choisir Face à la Concurrence ?

Le Nikon AF-S Nikkor 8-15mm f3.5-4.5E ED se distingue nettement de ses concurrents, tels que le Sigma 8mm f/3.5 EX DG Circular Fisheye ou le Canon EF 8-15mm f/4L Fisheye USM . Contrairement au Sigma, il offre une plage focale variable, permettant de passer d'un fisheye circulaire à un fisheye plein cadre . Comparé au Canon, il bénéficie d'une ouverture plus lumineuse à 8 mm (f/3.5 contre f/4), un avantage crucial en basse lumière. De plus, le Nikon est reconnu pour sa qualité de construction supérieure et son traitement Nano Crystal plus performant. Son positionnement sur le marché est clair : il s'agit d'un objectif photo haut de gamme, offrant une polyvalence, une qualité d'image et une robustesse exceptionnelles, justifiant son prix pour les photographes exigeants.

Contenu du Coffret

  • Objectif Nikon AF-S Nikkor 8-15 mm f/3,5-4,5E ED
  • Bouchon d'objectif avant LC-K102
  • Bouchon d'objectif arrière LF-4
  • Pare-soleil à baïonnette HB-80
  • Étui souple CL-1218
Caractéristiques Détails

Marque

Nikon
Couleur Noir
Zoom optique ‎1,8 Multiplicateur x
Stabilisation d'image ‎Numérique
Type d'installation Nikon
Distance focale ‎15 - 8
Ouverture du diaphragme 4,5 millimètres
Zoom numérique ‎2
Modèle ‎20066
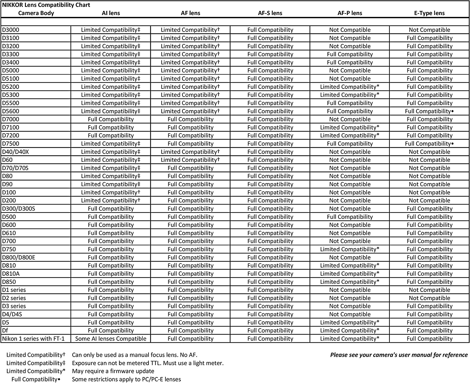
Appareils compatibles AF-S Fisheye 8–15 mm
Garantie constructeur ‎1 an
Dimensions du colis (L xlxh) ‎19,4 x 14,5 x 14,3 centimètres
Dimensions du colis (L xlxh) ‎8,3 x 8,3 x 8,3 centimètres
Poids de l'article ‎1,07 livre
Objectif de l'appareil photo 15 mm
Couleur du modèle Noir
À la stabilisation d'image Non
Pièces incluses ‎Bouchon avant d'objectif emboîtable LC-K102, bouchon arrière LF-4, parasoleil à baïonnette HB-80 et étui souple CL-1218
Distance focale maximale ‎15
Distance focale minimale ‎8
Année du modèle 2017
Diamètre de l'objectif 77 millimètres
Référence Objectif AF-S FISHEYE NIKKOR 8-15 mm f/3,5-4,5E ED
Type de zoom Zoom Optique
Conception de l'objectif Zoom
Type de focus AF-S

Chez Megapix.fr, nous savons que votre temps est précieux.

C’est pourquoi nous proposons une expédition rapide sur tous nos produits en stock. Vous recevez votre commande chez vous en quelques jours, avec un suivi complet et des partenaires logistiques fiables.

Et si un souci survient ? Notre Service Après-Vente est réactif et à l’écoute. Que ce soit pour un échange, un retour ou une simple question, notre équipe vous accompagne sans prise de tête, avec des réponses claires et rapides.

📦 Livraison rapide
🔁 Retours faciles
🛠️ SAV humain, efficace et transparent

Achetez en toute confiance. On s’occupe du reste.

Explorez des perspectives uniques

Avec sa plage de focales allant de 8mm à 15mm, le Nikon AF-S Nikkor 8-15mm f3.5-4.5E ED vous permet d'explorer un large éventail de perspectives, de l'ultra grand-angle à la vision circulaire immersive.